pc 251 home homework course mechanics

This is the place to look for sample problems before a test, for corrections during a test, and for solutions afterward.

Test 1: On problem 3, please note that the change in the sun's temperature is small, and so is the change in the radius of the earth's orbit. Also, yes, I mean for you to find a general expression for delta-r, and then to plug in numbers for the last part of the question. Also, you're allowed to use the result from class, that power is a constant times the surface area times temperature to the fourth power.
On problem 6, for each of the four parts (a through d), tell me whether it can be explained by classical physics and if so, how, and if not, how quantum physics explains it.
On problem 7, assume the electron is a free electron. Be sure to draw a picture and do some thinking (maybe about principles from Physics I), when you're trying to come up with how much energy can be transferred to the electron.
On problem 4, assume the electron and the positron are initially pretty much at rest.
Test 1 solutions: problems 1&2 3 4,5,7 .

 

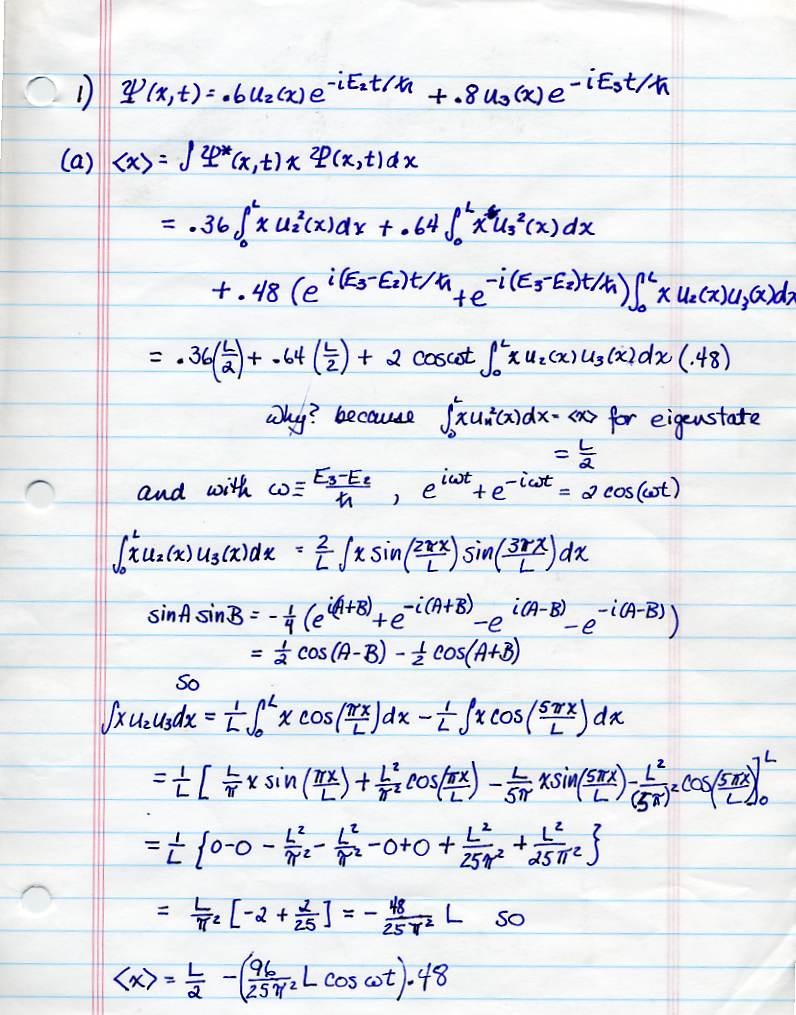
Test 2: On the first question, please note that you're asked about the transition from the current value of n to a value of n that is one less than the current value. (That's what I mean by the n-1 state.) And I don't want anyone to tell me that the energy of the emitted photon is zero. Also, you're all entitled to know that the gravitational force is G M m / r^2 and the gravitational potential energy is -G M m / r.
On problem 2, the potential energy is assumed to be zero, so that the energy is the kinetic energy.
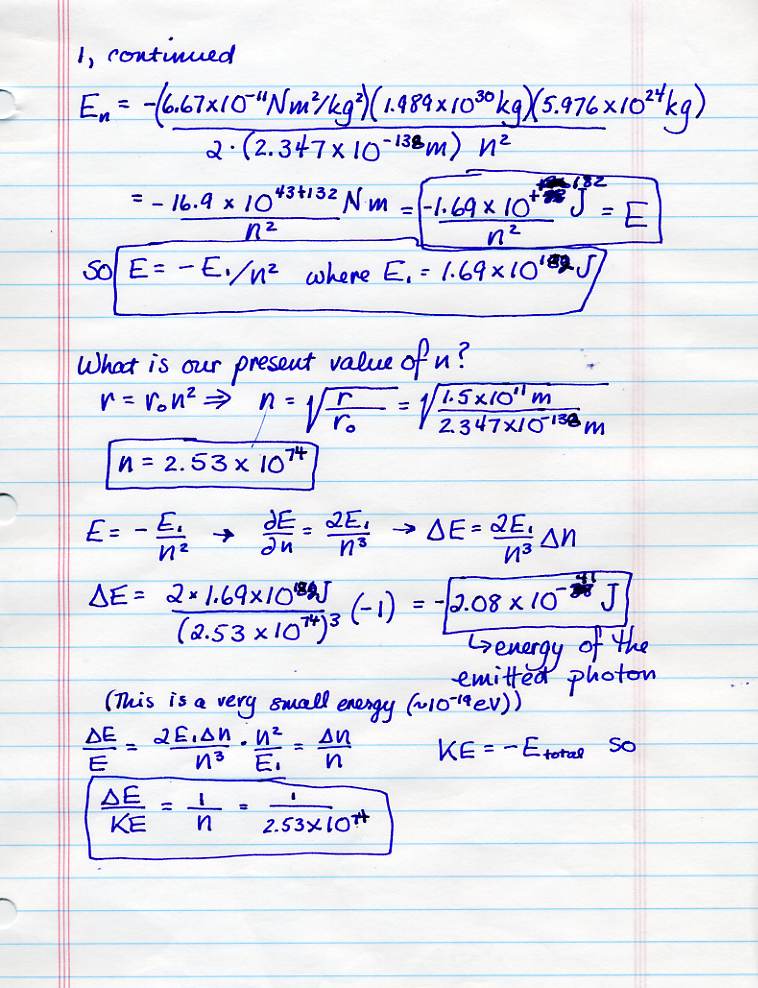
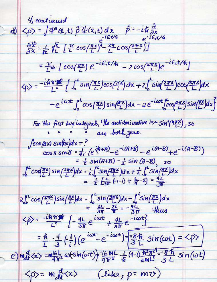
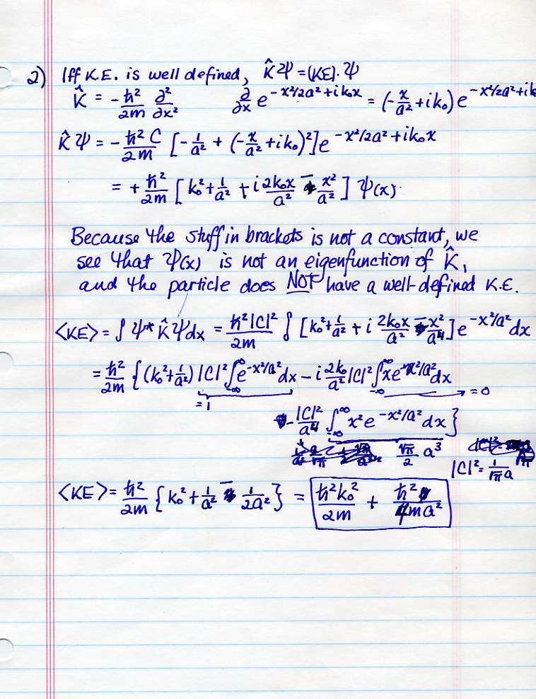
On problem 3, I ask whether the w's are eigenfunctions; I mean, are they energy eigenfunctions?
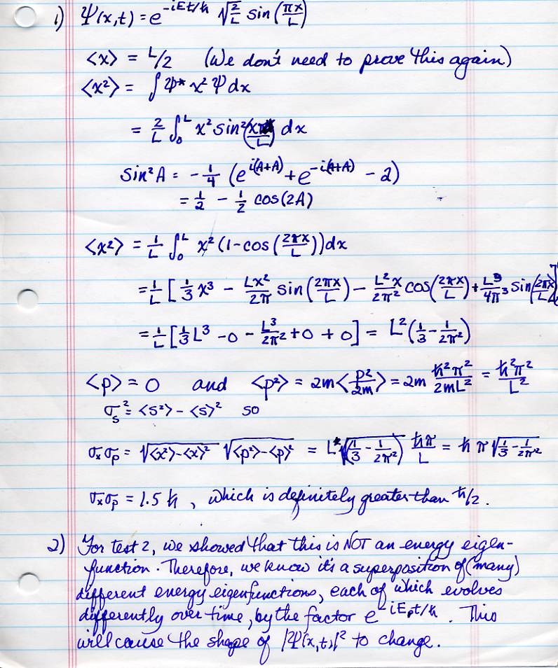
On problem 3, I've given in to the pleading so that I am not adding a question in which you determine <p> and comment on the significance of your result;  however, I'm very sad not to have done so.

Solutions for Test 2: Problem 1 is here and here. Problem 2. Problem 3 is here and here. Problem 4 is here and here.

Test 3: On problem 3, for sure the particle's energy E should be assumed to be positive.
On problem 1, delta-x is the same as the (lower-case) sigma-x and delta-x is the same as the (lower-case) sigma-x that we talked about in class just before the last test.

Solutions for Test 3: Complete, no doubt, with errors: Problem 1&2, pr 3, pr 4, pr 5, and pr 6. Yep, in problem 1, I omitted the (L^2)/4 from the calculation of delta-x.

Final Exam stuff: First, here's a link to last year's final. I'm sorry the formulas are so hard to read; blame Microsoft. There's no guarantee that this year's final will be the same, but information can't hurt.

 

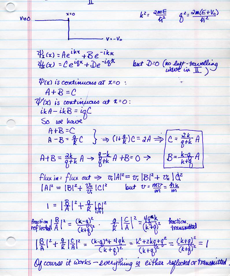
Final Exam Stuff: In problem three, E is greater than V-nought. ("Vo" just doesn't look right.) Also, particles are incident from the left, as usual.
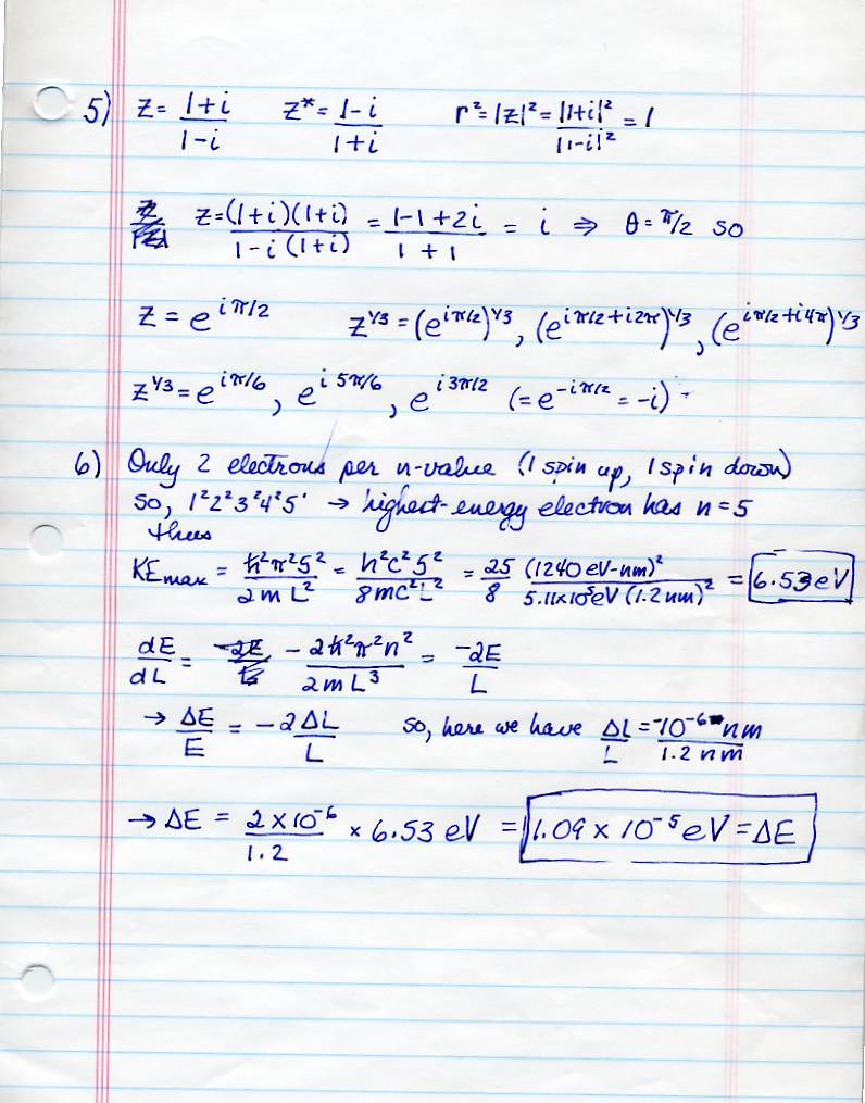
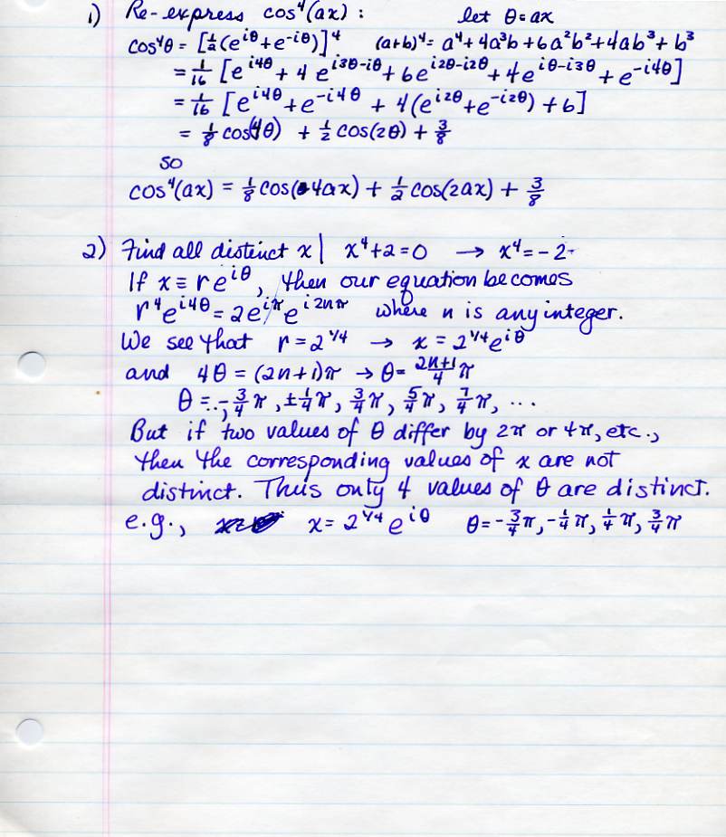
On problem 5, keep in mind that the cube root of x is a number that, when cubed, equals x.
On problem 7, part b, you might profit greatly from graphing psi* psi.

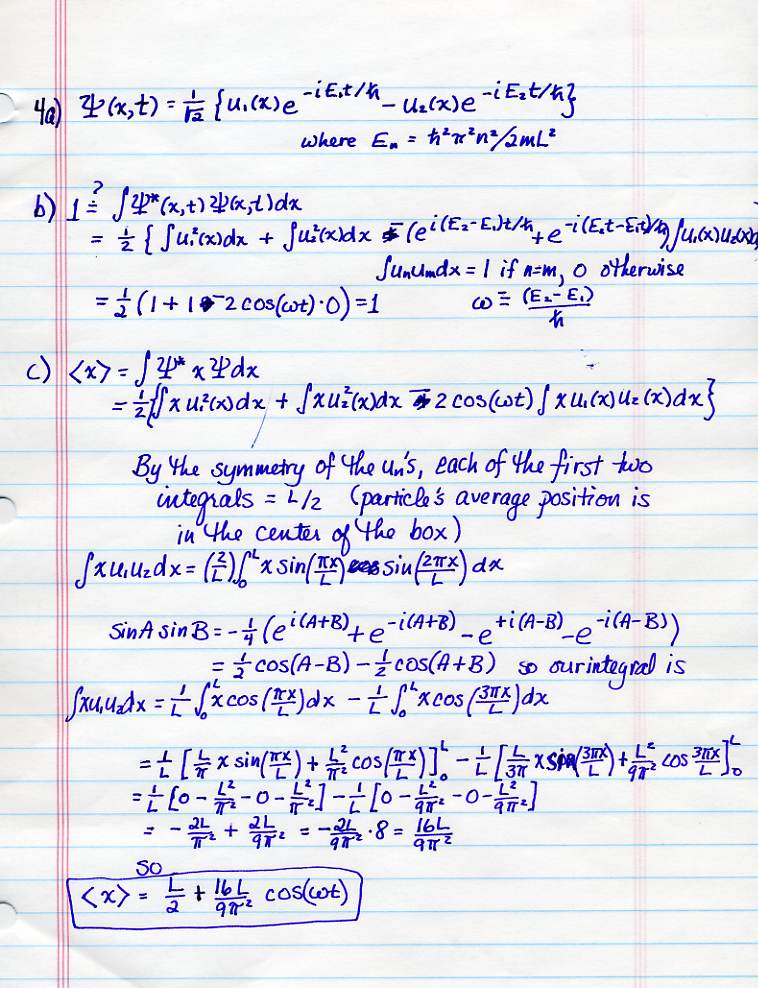
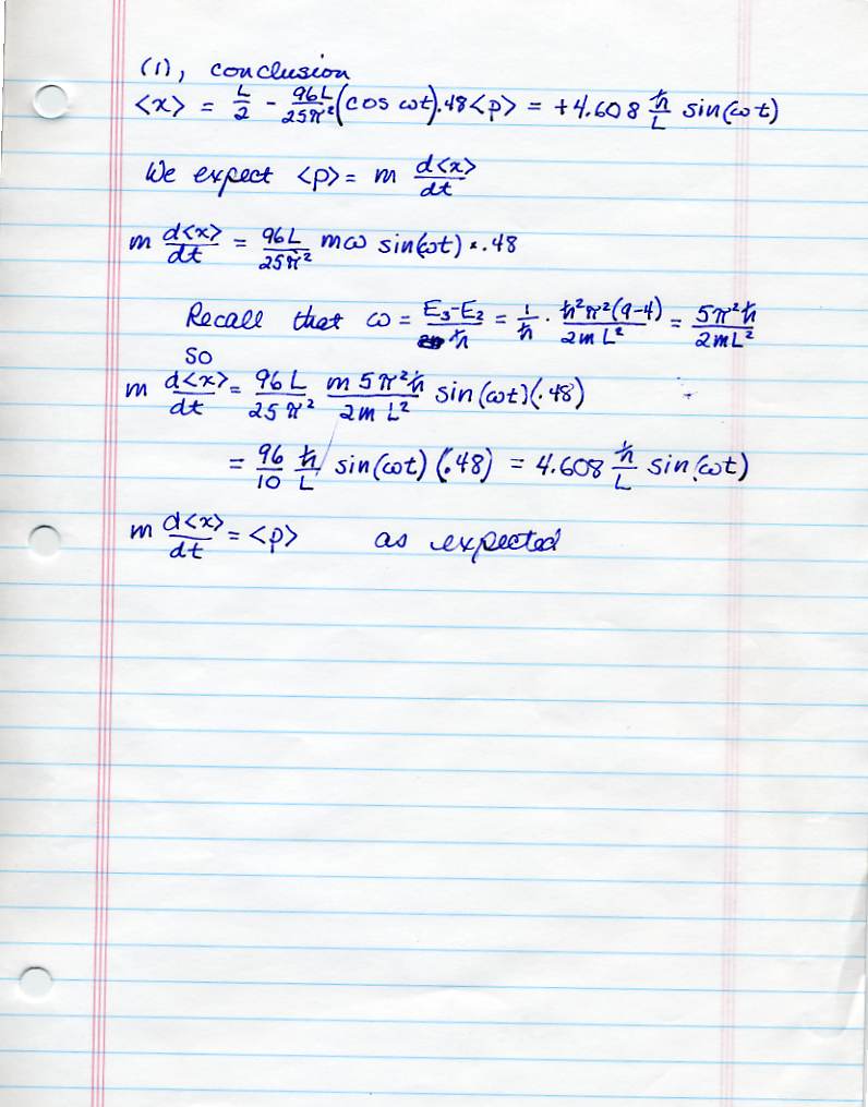
Solutions for the final: Problem 1 is here, here, and here. Problems 2&3. Problem 4 is here. Problems 5&6. Problem 7 is here.